How to Overcome Procrastination and Boost Your Willpower Using “Temptation Bundling”
Each day, after long hours at work, Katy Milkman—a young professor at the University of Pennsylvania—would head straight home, lay down on the couch and read her favorite book, The Hunger Games.
This was her guilty pleasure and reward after a tiring day on the job.
But, just like many of us, Katy had other plans that she should have been doing instead of watching TV or reading the book.
In this scenario, Katy should have been taking action on her resolution to exercise more after working hours, but she struggled to find the motivation and willpower to follow through on this.
One day, Katy Milkman decided to test out a new idea to solve this problem:
What if she would only allow herself to read The Hunger Games books when she was exercising at the gym?
Would this motivate her to exercise more frequently?
Katy put together this strategy and called it “Temptation Bundling.”
Here’s what happened to Katy Milkman and how temptation bundling can help you to stop procrastinating today.
Temptation Bundling Explained
According to Katy Milkman…
“Temptation bundling involves the coupling of instantly gratifying “want” activities (e.g., watching the next episode of a habit-forming television show, checking Facebook, receiving a pedicure, eating an indulgent meal) with engagement in a “should” behavior that provides long-term benefits but requires the exertion of willpower (e.g., exercising at the gym, completing a paper review, spending time with a difficult relative).”
In other words, temptation bundling is the idea of combining two activities—one you should be doing, but procrastinate on; and one you enjoy doing, but isn’t the most productive use of your time.
For example, Katy knew she should be exercising more, but she spent that time reading or watching her favorite TV shows.
By combining these two activities, Milkman created her own ‘temptation bundle.’ The only way for her to catch up on what happened next in the novel was to exercise.
So what were her results?
After using temptation bundling for several weeks, Milkman developed the habit of exercising up to five days a week.
This was a drastic improvement from her previous inconsistent exercise routine, but Milkman wanted to test temptation bundling on a larger scale.
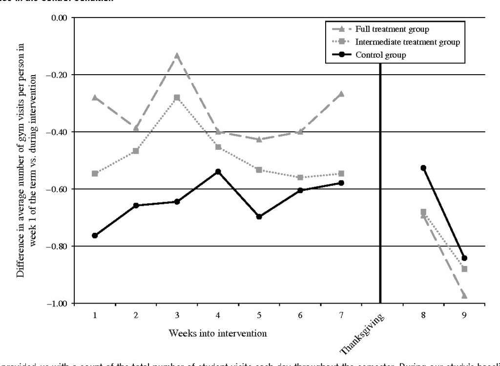
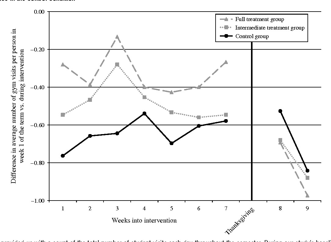
Fast forward a few years later, Milkman and her research colleagues recruited 226 participants for a 10-week study on the effects of temptation bundling on exercise habits. [1]
Each participant was assigned to one of three groups with instructions to exercise for 30 minutes.
One group—the control group—was given gift cards as a reward for participation.
The second group was loaned an iPod with four audio novels of their choice and were told to only listen to these whilst exercising.
The third group—the temptation bundling group—were also loaned an iPod with four audio novels from a list of highly addictive books i.e. The Hunger Games and The DaVinci Code audio books, however, they could only access the iPod at the gym itself.
After the 10-week study period, Katy Milkman and her team analysed the data to uncover the effects, if any, of temptation bundling.
Milkman discovered that the participants of the third group—temptation bundling group—visited the gym 51% more frequently than the control group.
On an interesting note, when the participants returned home after the 10-week study period—following the thanksgiving period—the effect of the temptation bundling on their exercise habits started to decline.
This is why an identity shift is required to sustain a habit over the long-run. Temptation bundling simply gets the process started.
How to Get More Things Done Using Temptation Bundling
Now that we’ve discussed the origins and explanations for temptation bundling, let’s explore different examples of how this could apply in your life.
If you want to eat healthier…
You could listen to your favorite podcast, only when you’re preparing, cooking or eating your healthy meals.
If you want to spend more time with your family or friends…
You could include the specific person you’d like to spend more time with in an activity you enjoy.
For example, if you regularly eat at a local Italian restaurant, you’d choose to only visit the restaurant with that particular person.
By creating this temptation bundle, you’ll be more motivated to spend more time with your friends and family because of the anticipated reward of a tasty meal.
If you want to write and read more…
You could combine an enjoyable leisure activity with your writing and reading activities.
For example, you could choose to only get a pedicure, whilst catching up on reading a particular book.
Another example that I personally use is to listen to music or watch Tedx videos, whilst writing the first draft of my articles.
There are many more examples of how you can use temptation bundling for better productivity in your life.
The key idea here is that temptation bundling allows you to enjoy the short-term benefits and instant gratification from your guilty pleasures, whilst building good habits.
As you can see from the diagram above, under normal circumstances, when we indulge in bad behaviors i.e. watching tv instead of working out, there is a short-term benefit or instant gratification, but there are long-term costs.
This tension with short-term instant gratification makes it difficult to avoid procrastination and distractions.
Conversely, when you take action on a good habit i.e. saving money, you’ll experience an immediate cost, but long-term benefits.
Temptation bundling combines both of these so that you can enjoy the short-term benefits today and reap the long-term benefits tomorrow.
In other words, there is no downside!
Creating Your Temptation Bundles
To create your temptation bundle, simply grab a piece of paper and draw a line to create two columns.
- In the first column, write down the activities you know you should be doing, but regularly procrastinate on.
Examples include: household chores, emails, writing a report, reading, exercising and so on. - In the second column, write down your guilty pleasures or activities you enjoy.
Examples include: watching favourite TV show or sports, browsing through social media, eating at your favourite restaurant.
Once you’ve exhausted both columns of the list, create your temptation bundles by linking the activities you enjoy with those you should be doing.
For example, you could sort through and pay your bills, whilst listening to your favorite audio-book on audible.
To keep things fresh, you could even interchange your temptation bundles every month or so.
Let’s say this month you only listen to your favorite podcasts when you exercise. Next month, you could only listen to your favorite podcast when you cook healthy meals or sort through a backlog of emails.
Here’s another idea: Why not pay someone to take away your temptation bundle?
For example, during the study cited previously, the second group, who had full control of when they could listen to the audio books were only 29 percent more likely to exercise than the control group.
In comparison, the third group had a greater likelihood—51 percent—because the researcher had locked the iPod with the audiobook away in a locker inside the gym.
The only way the third group could catch up on what would happen next in the novel was to physically drive or walk to the gym to exercise.
You can use a similar strategy to stop procrastinating and take more action, by paying someone to act as the gatekeeper just like the researcher in this example.
Get creative, mix it up and have fun with using your temptation bundles.
The Best Time to Use Temptation Bundling
Not all temptation bundles are equal, neither is the timing of the use of the bundle.
Katy Milkman later discovered the “fresh start effect” or in other words the recurring trend for people to start new habits at the ‘start’ of a year, month, week or following certain holidays, school breaks and birthdays. [2]
Think about the last couple of goals that you attempted to pursue. Chances are these resolutions followed immediately after a new year, week, birthday and so on.
This is generally due to our tendencies to create new mental blank slates and forget previous imperfections and failures after these “fresh starts.”
Image via SSRN
The implications of this are simple:
If you’re about to go back to work after a holiday or your birthday is around the corner, use these “fresh starts” to kickstart your temptation bundle and new habits.
But, if you don’t have any “fresh starts” available, you can still go ahead with using your temptation bundle.
Get Things Done Without the Misery
Temptation bundling is a simple,effective strategy that will help you to stop procrastinating and get more things done, without the dread of completing a task.
By combining something you enjoy doing with something you know you should be doing—but, always put off—you’d make it easier to take action on habits with long-term benefits.
The anticipation of instant gratification from your guilty pleasures and the changes in environment are powerful motivators that will help you to kick-start new habits for better health and productivity.
Whether you want to exercise, write, read more or complete every day mundane tasks, temptation bundling could help you to stick to your goals over the long-run in a more enjoyable way.
Footnotes
- Holding the Hunger Games Hostage at the Gym: An Evaluation of Temptation Bundling
- The Fresh Start Effect: Temporal Landmarks Motivate Aspirational Behavior
- Credit to James Clear for the two list temptation bundling idea.


